Bacitrac99

Description

Bacitrac99 is the most pure form of bacitracin available, and should be used for the most sensitive applications and on the most sensitive cell lines since any impurities that might cause inhibition of resistant cell lines have been removed. In general, our USP Grade bacitracin will not adversely affect your cells and is suitable for most experiments.

Bacitracin is a cyclic polypeptide antibiotic isolated from Bacillus subtilis. It is made up of a variety of antimicrobial peptide fractions including A, A1, B, B1, B2, C, D, E, F, G, and X. This standard grade product is a mixture of these fractions, with bacitracin A exhibiting the most potent antimicrobial activity. Bacitracins B1 and B2 exhibit about 90% of the antimicrobial activity of bacitracin A when together. Other forms of bacitracin have not been studied extensively, but may have negligible antimicrobial properties.

Bacitracin targets the cell wall of gram-positive organisms such as Streptococcus pyogenes and Staphylococcus aureus. Bacitracin also functions as a useful tool to distinguish between group A and group B β-hemolytic Streptococcus species, which are susceptible and resistant, respectively.

Bacitracin functions through inhibiting phosphorylation of bactoprenol, a step essential to synthesize peptidoglycan. Consequently, cell lysis occurs. Bacitracin resistance is conferred through a BcrABC transporter that pumps bacitracin out of cells or through BacA which allows phosphorylation of bactoprenol via an alternative biosynthesis pathway.

Antibiotics are often used in clinical in vitro tests known as antimicrobial susceptibility tests or ASTs to determine their efficacy against certain bacterial species. They are tested against gram-negative and gram-positive bacteria using panels, discs, and MIC strips by medical microbiologists. ASTs decrease the risk of using an antibiotic against bacteria exhibiting resistance to it, and the results are used in clinical settings to determine which antibiotic(s) to prescribe for various infections.

Product Specifications
Bacitrac99
Bacitracin

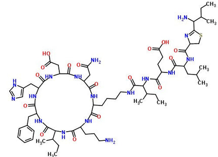
Formula: C66H103N17O16S

MW: 1,422.69 g/mol

Storage/Handling: Store at 4°C.

PubChem Chemical ID: 24891503

Bacitrac99

View Sizes & Pricing

Catalog Number:
B-071-10
CAS Number:
1405-87-4
$162.00

Availability:
2-3 Weeks
Shipping:
Shipping calculated at checkout

    Description

    Bacitrac99 is the most pure form of bacitracin available, and should be used for the most sensitive applications and on the most sensitive cell lines since any impurities that might cause inhibition of resistant cell lines have been removed. In general, our USP Grade bacitracin will not adversely affect your cells and is suitable for most experiments.

    Bacitracin is a cyclic polypeptide antibiotic isolated from Bacillus subtilis. It is made up of a variety of antimicrobial peptide fractions including A, A1, B, B1, B2, C, D, E, F, G, and X. This standard grade product is a mixture of these fractions, with bacitracin A exhibiting the most potent antimicrobial activity. Bacitracins B1 and B2 exhibit about 90% of the antimicrobial activity of bacitracin A when together. Other forms of bacitracin have not been studied extensively, but may have negligible antimicrobial properties.

    Bacitracin targets the cell wall of gram-positive organisms such as Streptococcus pyogenes and Staphylococcus aureus. Bacitracin also functions as a useful tool to distinguish between group A and group B β-hemolytic Streptococcus species, which are susceptible and resistant, respectively.

    Bacitracin functions through inhibiting phosphorylation of bactoprenol, a step essential to synthesize peptidoglycan. Consequently, cell lysis occurs. Bacitracin resistance is conferred through a BcrABC transporter that pumps bacitracin out of cells or through BacA which allows phosphorylation of bactoprenol via an alternative biosynthesis pathway.

    Antibiotics are often used in clinical in vitro tests known as antimicrobial susceptibility tests or ASTs to determine their efficacy against certain bacterial species. They are tested against gram-negative and gram-positive bacteria using panels, discs, and MIC strips by medical microbiologists. ASTs decrease the risk of using an antibiotic against bacteria exhibiting resistance to it, and the results are used in clinical settings to determine which antibiotic(s) to prescribe for various infections.

    Product Specifications
    Bacitrac99
    Bacitracin

    Formula: C66H103N17O16S

    MW: 1,422.69 g/mol

    Storage/Handling: Store at 4°C.

    PubChem Chemical ID: 24891503

    Product Specifications

    Catalog ID: B-071
    CAS #: 1405-87-4
    MW: 1422.69 g/mol
    Storage/handling: Store at 4°C.

    Login

    Forgot your password?

    Don't have an account yet?
    Create account