Description
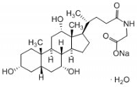
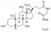
 Glycocholic acid, sodium salt hydrate is an ionic biologic detergent formed through the conjugation of cholic acid with glycine.  It is used to measure total bile acids through fluorometric and enzymatic assays.  Additionally, it is used to study its effect on testosterone micelle formation and solubilization. 
  
 Product Specifications 
 Glycocholic acid, sodium salt hydrate 
 Sodium glycocholate  
 
 Formula: C26H42NO6Na 
 
 MW: 487.62 g/mol 
 
 Storage/Handling: Store desiccated at 4°C. 
 PubChem CID: 23670522