Hygro99

Description

Hygro99 is the purest form of Hygromycin B available. It is over 99% pure and should be used for the most sensitive applications and on the most sensitive cell lines. All impurities that might cause inhibition of resistant cell lines have been removed. In general, our Molecular Grade Hygromycin B (which is still ≥92 % pure and less expensive) will not adversely affect your cells and is suitable for most experiments.

Both Hygro99 and Molecular Grade Hygromycin B appear equal in the concentration of their functional units per mg of material as measured in our GoldBio hygromycin unit assay. However, this apparent anomaly is most likely due to the level of sensitivity of the hygromycin assay.

Hygromycin B is an aminoglycoside antibiotic isolated from Streptomyces hygroscopicus. It is commonly used to study protein synthesis. Aside from its efficacy against bacteria, fungi, and higher eukaryotic cells, hygromycin B is also an antiviral agent inhibiting translation upon selectively entering cells made permeable due to viral infection. It works as a standard selection antibiotic in gene experiments, especially for selection of hygromycin resistance gene transformed cells.

This product has been tested against both sensitive and resistant cells at Gold Biotechnology Labs.

ONLY AVAILABLE IN CONTINENTAL UNITED STATES

Product Specifications:
Hygromycin B, 99% Pure

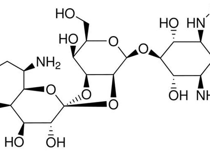
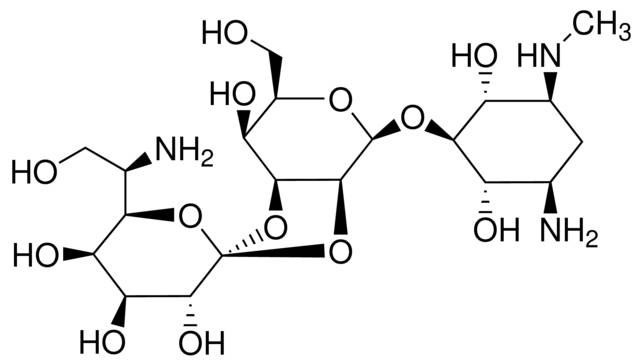
Formula: C 20H37N3O13

MW: 563.52 g/mol

Storage/Handling: Store desiccated at -20°C.

PubChem Chemical ID: 35766

N.B.
International shipments MUST be shipped by air (including Canada and Mexico). Shipments of 25 g, 50 g and 100 g will be shipped as multiples of 25 g units to qualify for the small quantity exception. 500 g pack sizes are a hazardous shipment and will incur a hazmat fee, which we estimate to be $65.

Hygro99

View Sizes & Pricing

Catalog Number:
H-271-500
CAS Number:
31282-04-9
$133.00

Availability:
2-3 Weeks
Shipping:
Shipping calculated at checkout

    Description

    Hygro99 is the purest form of Hygromycin B available. It is over 99% pure and should be used for the most sensitive applications and on the most sensitive cell lines. All impurities that might cause inhibition of resistant cell lines have been removed. In general, our Molecular Grade Hygromycin B (which is still ≥92 % pure and less expensive) will not adversely affect your cells and is suitable for most experiments.

    Both Hygro99 and Molecular Grade Hygromycin B appear equal in the concentration of their functional units per mg of material as measured in our GoldBio hygromycin unit assay. However, this apparent anomaly is most likely due to the level of sensitivity of the hygromycin assay.

    Hygromycin B is an aminoglycoside antibiotic isolated from Streptomyces hygroscopicus. It is commonly used to study protein synthesis. Aside from its efficacy against bacteria, fungi, and higher eukaryotic cells, hygromycin B is also an antiviral agent inhibiting translation upon selectively entering cells made permeable due to viral infection. It works as a standard selection antibiotic in gene experiments, especially for selection of hygromycin resistance gene transformed cells.

    This product has been tested against both sensitive and resistant cells at Gold Biotechnology Labs.

    ONLY AVAILABLE IN CONTINENTAL UNITED STATES

    Product Specifications:
    Hygromycin B, 99% Pure

    Formula: C 20H37N3O13

    MW: 563.52 g/mol

    Storage/Handling: Store desiccated at -20°C.

    PubChem Chemical ID: 35766

    N.B.
    International shipments MUST be shipped by air (including Canada and Mexico). Shipments of 25 g, 50 g and 100 g will be shipped as multiples of 25 g units to qualify for the small quantity exception. 500 g pack sizes are a hazardous shipment and will incur a hazmat fee, which we estimate to be $65.

    Product Specifications

    Catalog ID: H-271
    CAS #: 31282-04-9
    MW: 563.52 g/mol
    Storage/handling: Store desiccated at -20°C.
    UN number: 3462
    item class: 6.1
    group number: I

    Login

    Forgot your password?

    Don't have an account yet?
    Create account